Задание 3, пожалуйста объясните)))
Приложения:

nastenkakudrya:
а где именно 3?
Ответы
Ответ дал:
1
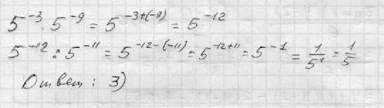
Здесь нужно воспользоваться свойствами степеней
Есть такое свойство a^(-n)=1/a^n
Значит, числа из числителя переносим в знаменатель,а из знаменателя в числите, НО при этом знак степеней меняется на положительный,т.е.:
5^11/5^3*5^9=5^11/5^12=5^(-1)=1/5 (по тому же свойству)
Есть такое свойство a^(-n)=1/a^n
Значит, числа из числителя переносим в знаменатель,а из знаменателя в числите, НО при этом знак степеней меняется на положительный,т.е.:
5^11/5^3*5^9=5^11/5^12=5^(-1)=1/5 (по тому же свойству)
Ответ дал:
1
При умножении выражений со степенями при равных основаниях (5), как в данном случае, показатели степени складываются, а при делении - вычитаются
Приложения:

Вас заинтересует
2 года назад
2 года назад
7 лет назад
7 лет назад
8 лет назад