Ответы
Ответ дал:
2
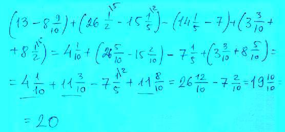
Смотри решение во вложениях
Приложения:

нагима5:
спасла от 2 СПАСИБО
Вас заинтересует
1 год назад
2 года назад
2 года назад
7 лет назад
7 лет назад
8 лет назад