Ответы
Ответ дал:
1
29)
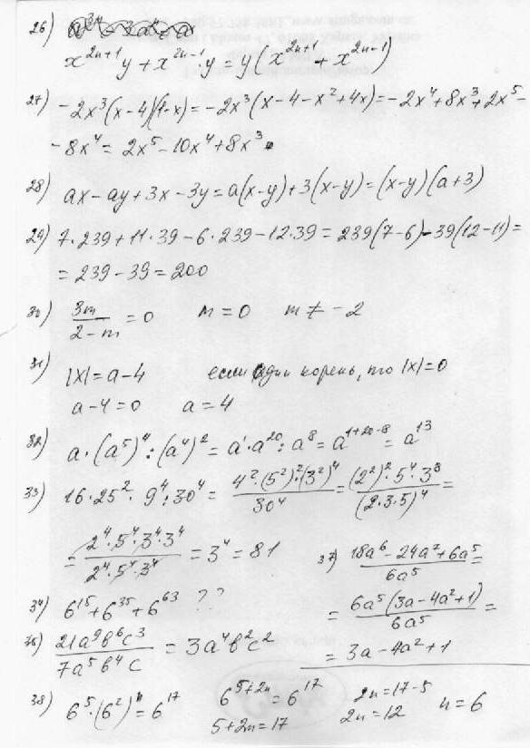
=239(7-6)+39(11-12)=239-39=200
32)
=а×а^20/а^8=а^21/а^8=а^13
28)
=а(х-у)+3(х-у)=(а+3)(х-у)
21)
3у^2-0.27у=0
3у(у-0.09)=0
3у=0
у1=0
у-0.09=0
у2=0.09
2х+х^3+х^5=0
х(2+х^2+х^4)=0
х1=0
х^4+х^2+2=0
х^2=а
а^2+а+2=0
д=1-4×2=-7
корней нет
22)
=2^50(1+2+4)=2^50×7
делится т.к. в призведении есть 7
35)
=3а^4×в^2×с^2
36)
=3а-4а^2+1
=239(7-6)+39(11-12)=239-39=200
32)
=а×а^20/а^8=а^21/а^8=а^13
28)
=а(х-у)+3(х-у)=(а+3)(х-у)
21)
3у^2-0.27у=0
3у(у-0.09)=0
3у=0
у1=0
у-0.09=0
у2=0.09
2х+х^3+х^5=0
х(2+х^2+х^4)=0
х1=0
х^4+х^2+2=0
х^2=а
а^2+а+2=0
д=1-4×2=-7
корней нет
22)
=2^50(1+2+4)=2^50×7
делится т.к. в призведении есть 7
35)
=3а^4×в^2×с^2
36)
=3а-4а^2+1
Мадинка2015:
^-что значит?
это знак степени. ^2 это в квадрате. ^3 это в кубе.
спасибо))
Ответ дал:
1
Ответ смотри во вложениях
Приложения:
Вас заинтересует
2 года назад
2 года назад
2 года назад
2 года назад
7 лет назад
7 лет назад
9 лет назад