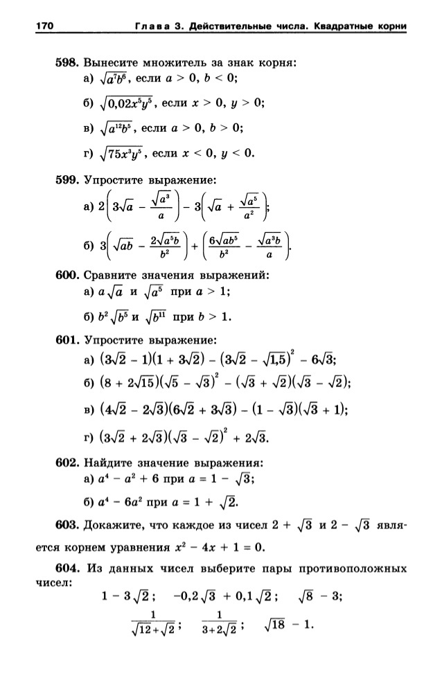
Помогите. Решите какие нибудь примеры с этих номеров 598, 599, 601 (мне для примера) и желательно с объяснение. Большое спасибо))
Приложения:

Ответы
Ответ дал:
0
600. a) корень из а^5 больше
б) корень из b^11 больше
601. а) (18-1)-(18-6~|3-1,5)-6~|3= 17-16,5=0,5
б) корень из b^11 больше
601. а) (18-1)-(18-6~|3-1,5)-6~|3= 17-16,5=0,5
km040501:
спасибо, но мне 600 был не нужен, но все равно спасибо))
Вас заинтересует
1 год назад
1 год назад
2 года назад
2 года назад
7 лет назад
7 лет назад
8 лет назад
8 лет назад