• Предмет: Математика
  • Автор: Heppik
  • Вопрос задан 11 лет назад

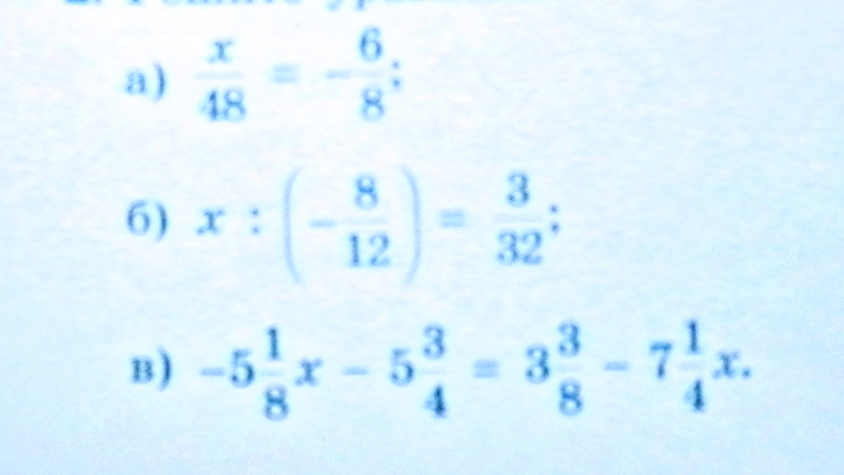
Помогите,задания во вложении))) 

Приложения:

Ответы

Ответ дал: Женька5555
0

а остальное просто нет времени решать,и измени пожалуйста класс

Приложения:
Вас заинтересует