Ответы
Ответ дал:
2
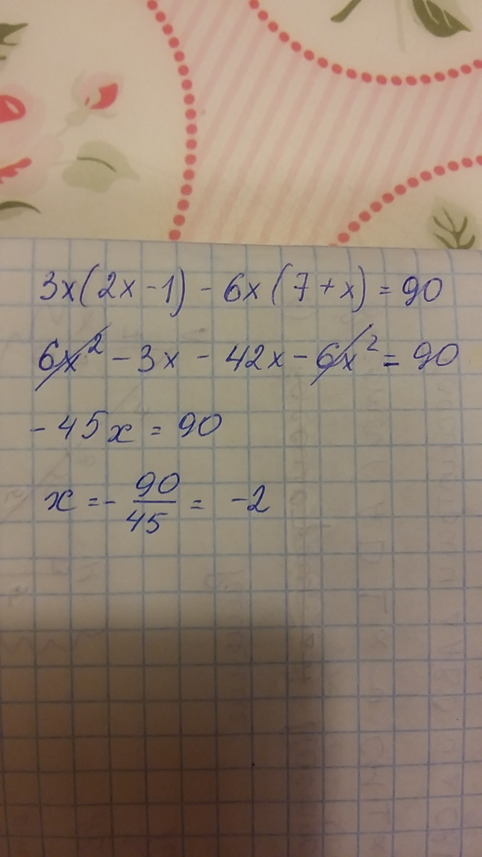
раскрываем скобки-умножаем поочередно 3х и 2х, 3х и 1 и так далее. потом считаем: 6х^2 и -6х^2 сокращается, слагаемые с иксами складываем. напоминаю, что если нужно перенести какое то число в другую часть уравнения, то меняем знак на противоположный.
ну и дальше просто все считаем)
ну и дальше просто все считаем)
Приложения:

крисс13:
спасибо огромное
Вас заинтересует
1 год назад
1 год назад
2 года назад
2 года назад
7 лет назад
7 лет назад
8 лет назад