• Предмет: Алгебра
  • Автор: Аноним
  • Вопрос задан 2 года назад

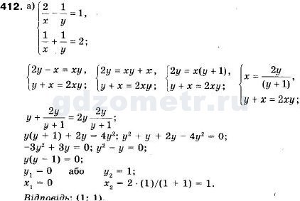
Скажите пожалуйста: куда делись знаменатели (в четвёртой строке)?

Приложения:

Ответы

Ответ дал: defare12
2
каждое число разделили на знаменатель и тем самым сократили его
Ответ дал: Beladrino
1
они просто умножили все уравнение на (у+1) и знаменатели сократились
Вас заинтересует