• Предмет: Алгебра
  • Автор: Kirillsemashko
  • Вопрос задан 2 года назад

Решите,пожалуйста.Срочно

Приложения:

Ответы

Ответ дал: Dredil
0
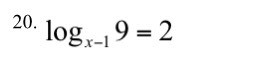
 (x-1)^{2} =9 \\ 
x-1=3 \\ 
x=4
Вас заинтересует