• Предмет: Алгебра
  • Автор: bulkaeva
  • Вопрос задан 3 года назад

решите пожалуйста.или обьясните как решить.
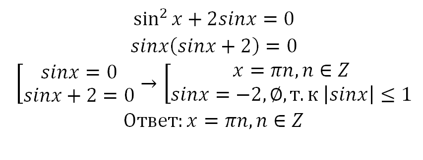
sinx^2+2sinx>0

Ответы

Ответ дал: AlbuRin
1
!!!!!!!!!!!!!!!!!!!!!!!!!!!!!!!!!!!!!!!!!!!!!!!!!!!!

Приложения:
Вас заинтересует