• Предмет: Математика
  • Автор: сара43
  • Вопрос задан 2 года назад

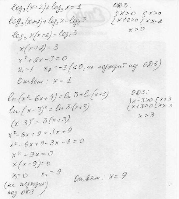
4 задание . 2 и 3 уравнения решите с объяснением , очень надо !

Приложения:

Ответы

Ответ дал: математик2011
0
Ответ смотри во вложениях! Повтори свойства логарифмов и всё станет понятно!
Приложения:
Ответ дал: Катерина170599
0
2) одз: х>-2 и х>0
по свойству логарифма:
ЛОГз((х+2)/х)=ЛОГз3
(х+2)/х=3
(х+2-3х)/х=0
-2х+2=0
х=1
Вас заинтересует