• Предмет: Математика
  • Автор: divergend
  • Вопрос задан 3 года назад

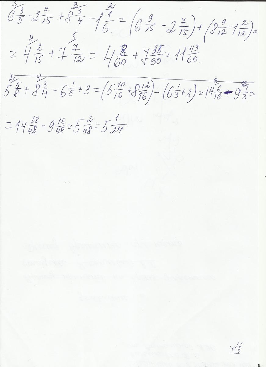
вычислите: 1)6 3/5-2 7/15+8 3/4-1 1/6 2)5 5/8+8 3/4-6 1/5+3


alinanam2005: лучше скинь фото с учебника

Ответы

Ответ дал: kiselkova75
29
записывай и не забудь нажать спасибо

Приложения:

divergend: Спасибо огромное
Вас заинтересует