• Предмет: Математика
  • Автор: piopiopio1
  • Вопрос задан 2 года назад

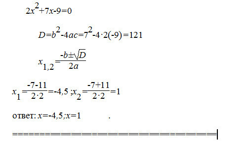
2x(2)+7x-9=0 Решите поражения

Ответы

Ответ дал: triolana
1
=====================================
Приложения:
Вас заинтересует