Ответы
Ответ дал:
0
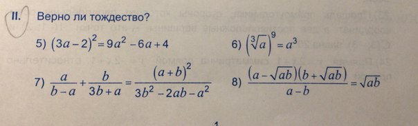
5.верно - по формуле
6.верно - по формуле
7.верно.приводим к общему знаменателю , потом подобніе и получаем верное тождество a*(3*b+a)+b*(b-a)=a*a+2*a*b+b*b - в числителе
8.верно.умножаем в числителе :a*b-корень из ав*в+а*корень из ав- а*в=корень из ав*(а-в), сокращаем со знамен., получаем корень из ав
6.верно - по формуле
7.верно.приводим к общему знаменателю , потом подобніе и получаем верное тождество a*(3*b+a)+b*(b-a)=a*a+2*a*b+b*b - в числителе
8.верно.умножаем в числителе :a*b-корень из ав*в+а*корень из ав- а*в=корень из ав*(а-в), сокращаем со знамен., получаем корень из ав
Вас заинтересует
3 года назад
8 лет назад
10 лет назад
10 лет назад
11 лет назад