• Предмет: Геометрия
  • Автор: N5SKlyaazaya
  • Вопрос задан 10 лет назад

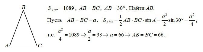
угол при вершине,противолежащей основанию равнобедренного треугольника,равен 30 градусов.найдите боковую сторону треугольника,если его площадь 1089

Ответы

Ответ дал: SergFlint
0
Решение во вложенном файле.
Приложения:
Вас заинтересует