• Предмет: Математика
  • Автор: Аноним
  • Вопрос задан 11 лет назад

помогите выполнить действия пожалуйсто!!!!!!!!!!!!

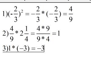
(-2/3)2*2 1/4*(-3)=-3  помогите ответ есть а решения нет пожалуйста развёрнуто  поооожжжж

Ответы

Ответ дал: triolana
0

================================================

Приложения:
Вас заинтересует
11 лет назад