Ответы
Ответ дал:
0
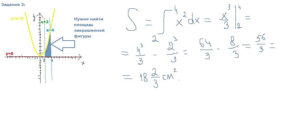
Решение, так сказать, нарисовала:D по другому объяснить решение не смогла уж))
Приложения:

Вас заинтересует
2 года назад
2 года назад
8 лет назад
8 лет назад
10 лет назад
10 лет назад
10 лет назад