• Предмет: Алгебра
  • Автор: marinasemikova
  • Вопрос задан 10 лет назад

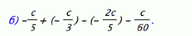
ПОМОГИТЕ, ПОЖАЛУЙСТА! Упростите выражение:

Приложения:

Ответы

Ответ дал: Checov7400
0
-с/5 +(-с/3)-(-2с/5)-с/60=-с/5-с/3+2с/5-с/60=(-12с-20с+24с-с)/60=-9с/60=-3с/20
Вас заинтересует