• Предмет: Алгебра
  • Автор: keenneenenene
  • Вопрос задан 11 лет назад

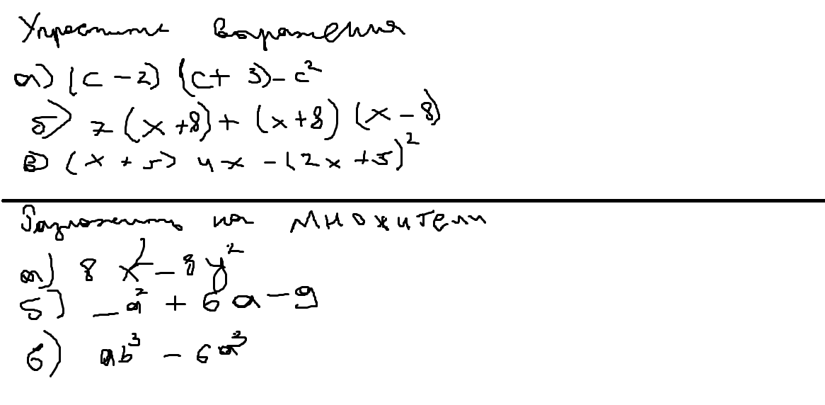
Алгебра 7 класс. ПОМОГИТЕ! СРОЧНО!

 

Приложения:

Ответы

Ответ дал: Babofob
0

№1

а)=c-6

б)=x^2+7x-8

в)=-x-4

Ответ дал: dtnth
0

милый почерк

(c-2)(c+3)-c^2=c^2-2c+3c-6-c^2=c-6

 

7(x+8)+(x+8)(x-8)=7x+56+x^2-64=x^2+7x-8

 

(x+5)4x-(2x+5)^2=4x^2+20x-4x^2-20x-25=-25

 

8x^2-8y^2=8(x^2-y^2)=8(x-y)(x+y)

 

-a^2+6a-9=-(a^2-6a+9)=-(a-3)^2

 

ab^3-6a^3=a(b^3-6a^2)

Вас заинтересует