Ответы
Ответ дал:
0
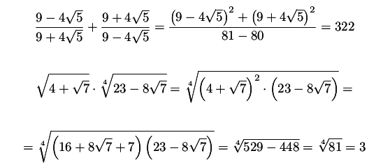
приведем к одному знаменателю домножим первую дробь на 9 - 4кор 5
вторую на 9 + 4кор 5
получим
(9-4кор5)2 + (9+4кор5)2/ 81 - 80 = 81 - 72кор5 +80+81+72кор5+80/1=81+80+81+80=322
вторую на 9 + 4кор 5
получим
(9-4кор5)2 + (9+4кор5)2/ 81 - 80 = 81 - 72кор5 +80+81+72кор5+80/1=81+80+81+80=322
Ответ дал:
0
спасибо
Ответ дал:
0
/ - это разделить????
Ответ дал:
0
да это деление
Ответ дал:
0
Решение смотрите в вложении
Приложения:

Ответ дал:
0
спасибо
Вас заинтересует
2 года назад
7 лет назад
7 лет назад
10 лет назад
10 лет назад