• Предмет: Алгебра
  • Автор: Алексей55578678
  • Вопрос задан 10 лет назад

Помогите решить, задание лёгкое ,просто забыл как решается)))

Приложения:

Ответы

Ответ дал: Checov7400
0
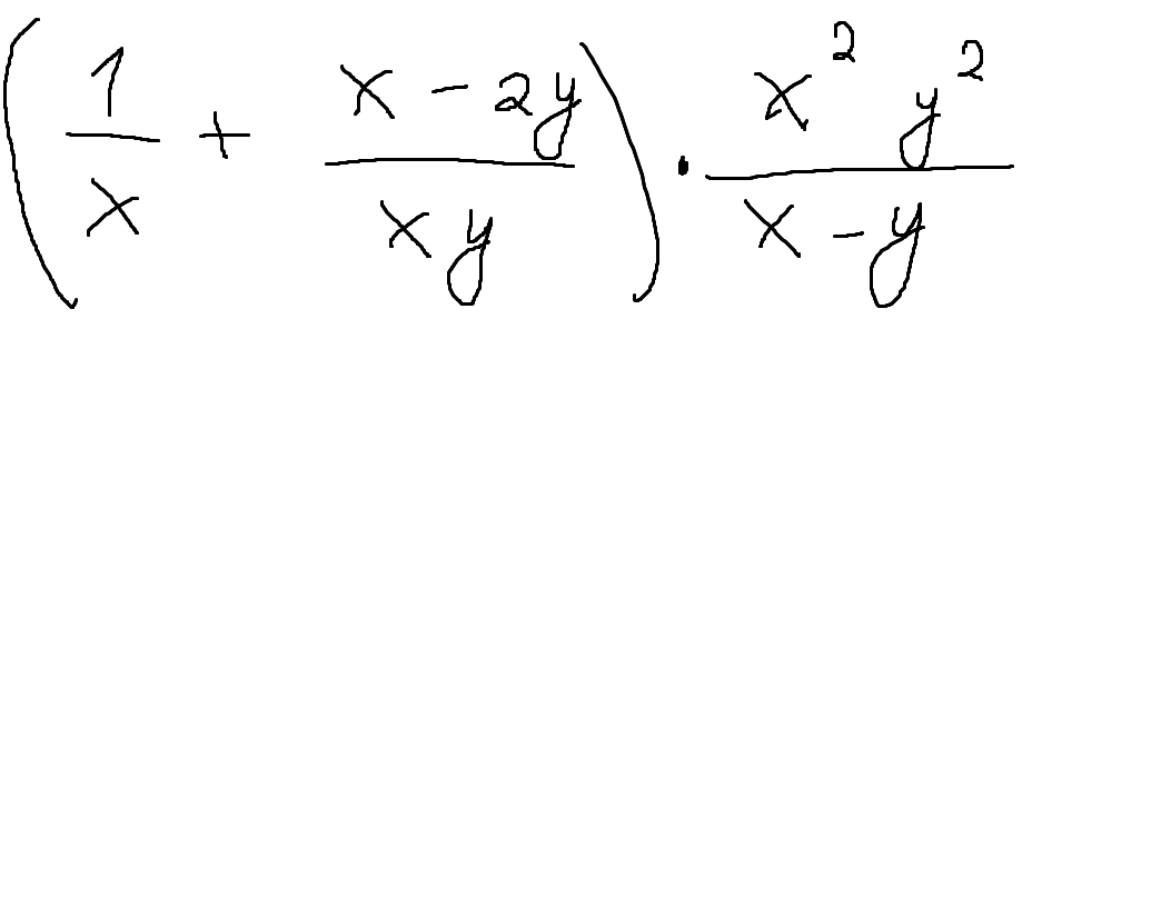
решение в приложении.
Приложения:
Вас заинтересует