• Предмет: Алгебра
  • Автор: Regina456
  • Вопрос задан 10 лет назад

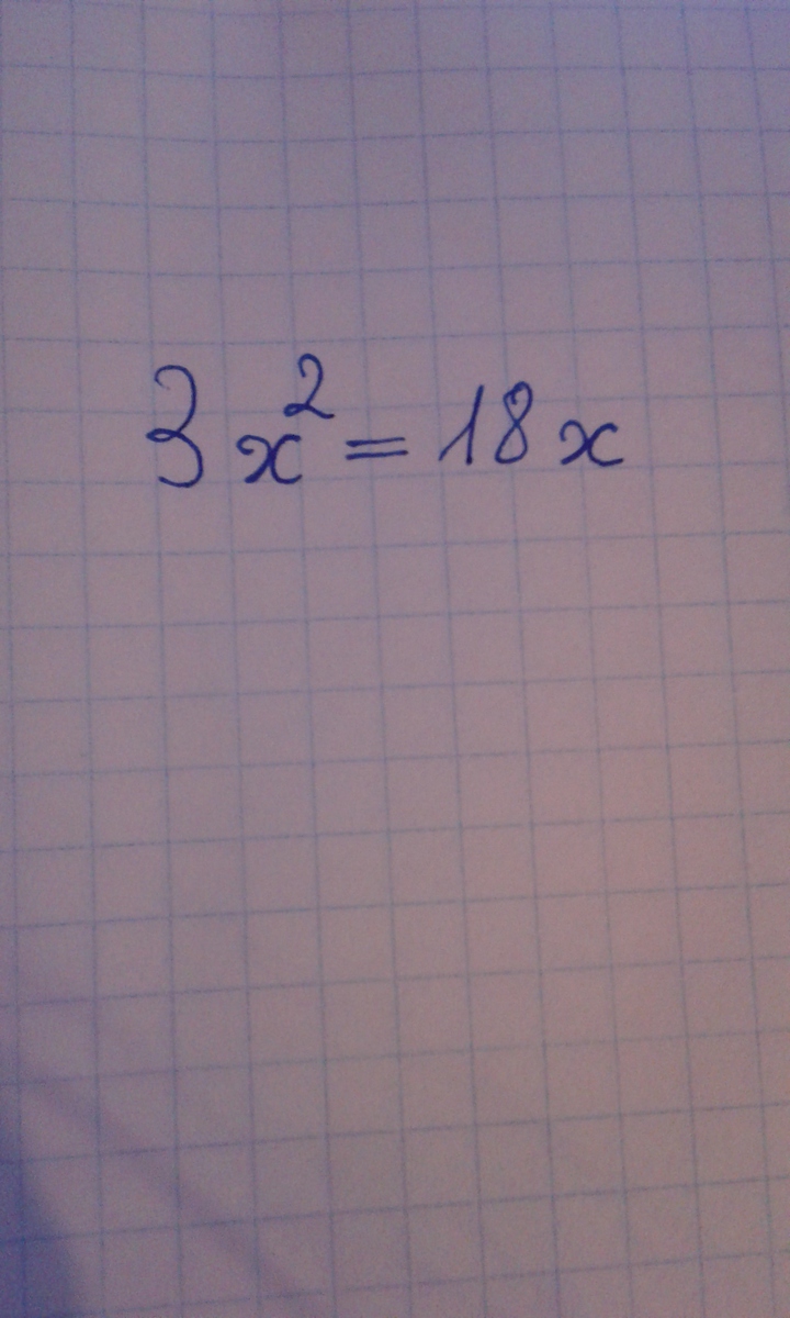
ПОЖАЛУЙСТА! ПОМОГИТЕ РЕШИТЬ УРАВНЕНИЕ!

Приложения:

Ответы

Ответ дал: Support001
0
3x^2-18x=0 |:3 \
x^2-6x=0 \
x(x-6)=0 \
x = 0 ; x = 6
Ответ дал: Guseynov77
0
x1=0
x2=6
сам на матане сфотал как смог
Приложения:
Вас заинтересует