• Предмет: Алгебра
  • Автор: Аноним
  • Вопрос задан 10 лет назад

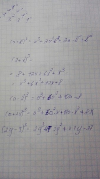
представьте в виде многочленов 1)(2+х)^3 2)(а-2)^3. 4)(а+2х)^3 3) (2у-3)^3

Ответы

Ответ дал: Support001
0
Решение в приложении
Приложения:
Ответ дал: Аноним
0
это точно прав??
Ответ дал: Аноним
0
там где (2у-3)^3 нече невидно можете пожалуста напписать
Ответ дал: Support001
0
8y^3-36y^2+54y-27
Ответ дал: Аноним
0
спс
Вас заинтересует