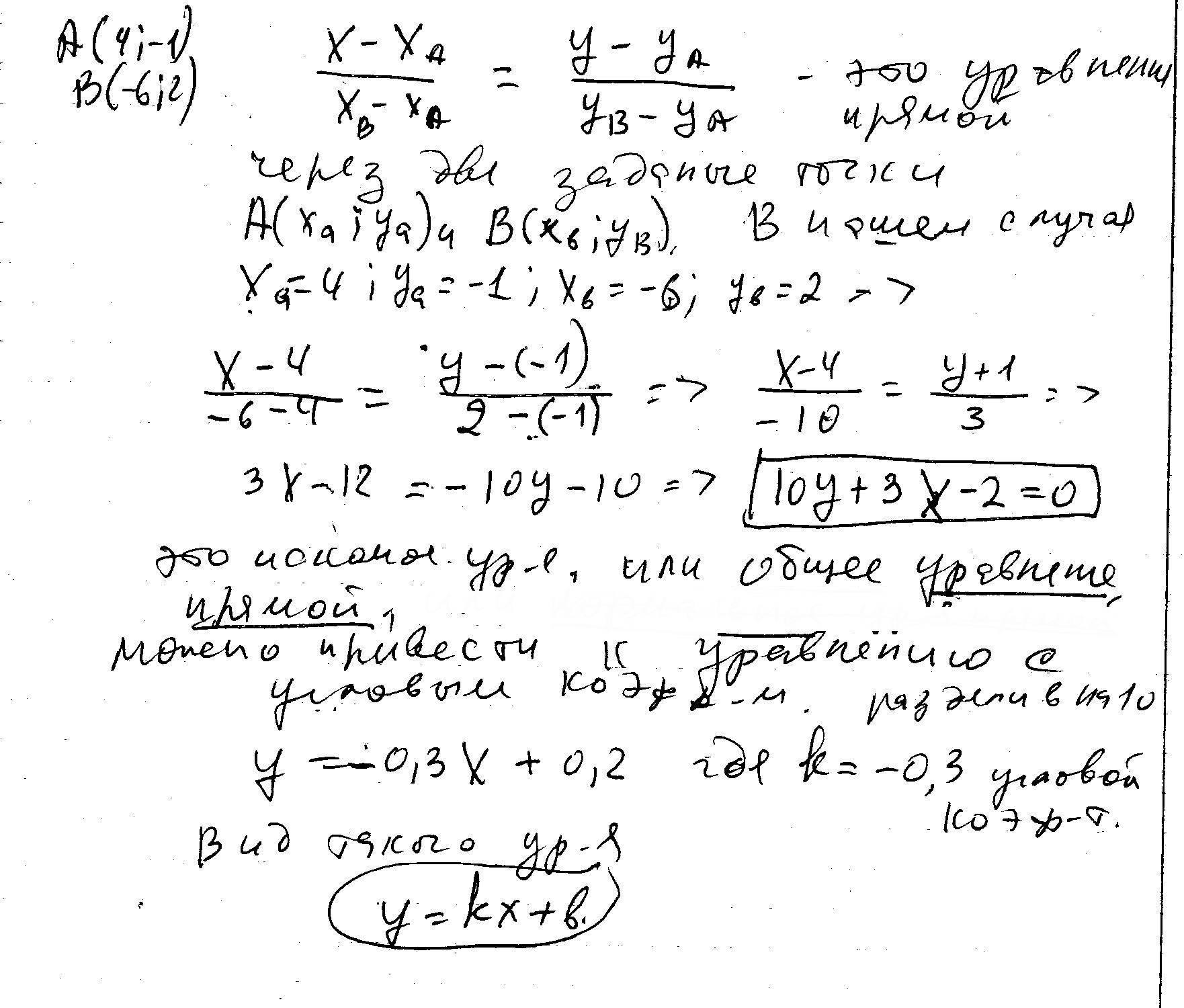
Составить уравнение прямой AB ,если: A(4,-1), B(-6,2). Напишите как решать пропорцию пожалуйста.
Ответы
Ответ дал:
0
Если речь идет о решении пропорций вообще, то второй лист
Составить уравнение прямой AB ,если: A(4,-1), B(-6,2). Напишите как решать пропорцию пожалуйста.
Составить уравнение прямой AB ,если: A(4,-1), B(-6,2). Напишите как решать пропорцию пожалуйста.
Приложения:
Вас заинтересует
3 года назад
3 года назад
8 лет назад
8 лет назад
11 лет назад
11 лет назад
11 лет назад