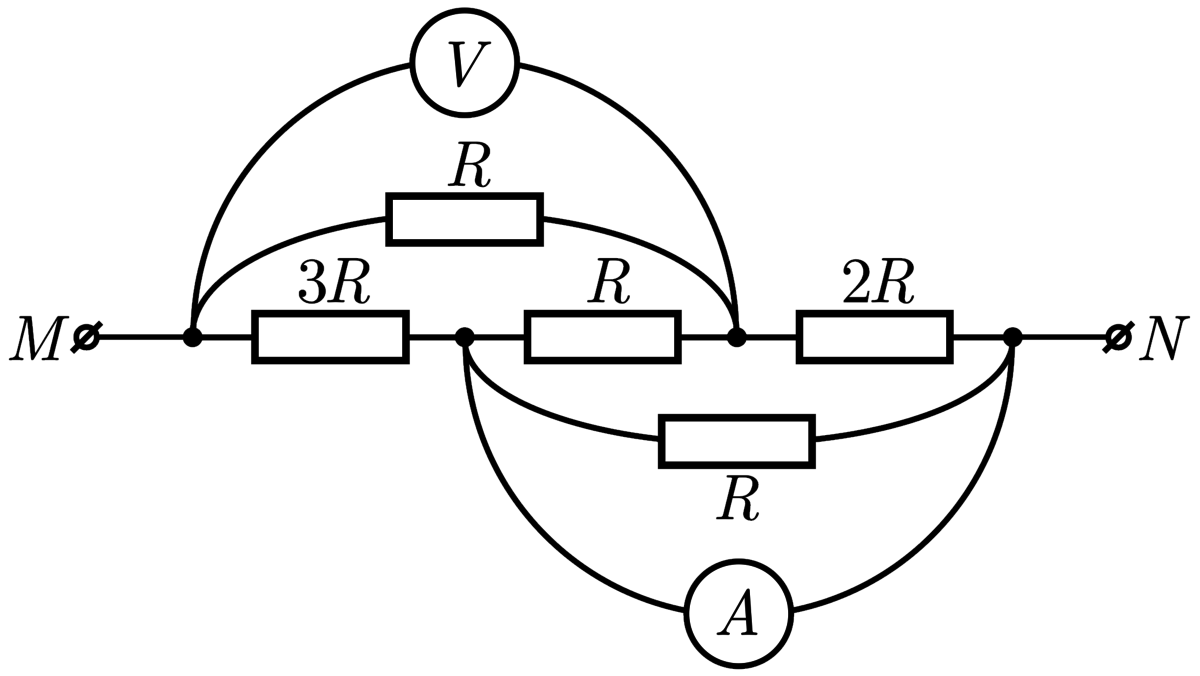
На рисунке представлена схема фрагмента электрической цепи, состоящего из резисторов и идеальных амперметра и вольтметра. Известно, что R=1 кОмR=1 кОм.
К концам MM и NN этого фрагмента приложили постоянное напряжение, в результате чего амперметр показал силу тока I=44 мАI=44 мА. Что показал вольтметр? Ответ выразить в ВВ, округлив до целых.
Приложения:

Ответа на этот вопрос пока нет. Попробуйте найти его через форму поиска.
Вас заинтересует
2 года назад
7 лет назад
10 лет назад
10 лет назад
10 лет назад