Ответы
Ответ дал:
0
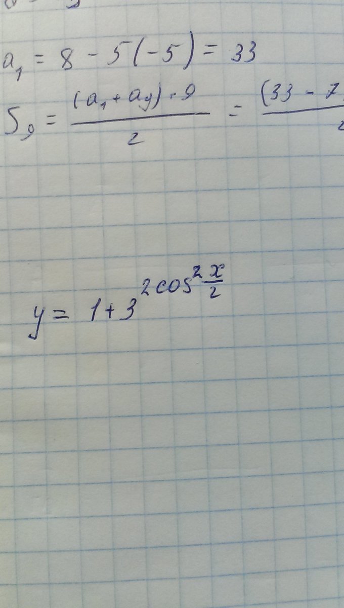
Косинус принимает значения от -1 до 1 включая границы:

Квадрат косинуса принимает значения от 0 до 1 включая границы:

Домножаем неравенство на 2:

Функция вида
монотонно возрастает, поэтому:

Прибавляем 1 ко всем частям неравенства:

Ответ: E(y)=[2; 10]
Квадрат косинуса принимает значения от 0 до 1 включая границы:
Домножаем неравенство на 2:
Функция вида
Прибавляем 1 ко всем частям неравенства:
Ответ: E(y)=[2; 10]
Ответ дал:
0
Артём, большое спасибо за решение. Можешь кое-что пояснить? Почему мы в последнем действии ко всем частям добавляем 1?
Ответ дал:
0
Чтобы в середине получить функцию, которая дана в условии
Ответ дал:
0
Точно. Спасибо ещё раз)
Вас заинтересует
3 года назад
8 лет назад
8 лет назад
10 лет назад
10 лет назад