• Предмет: Математика
  • Автор: ошавот
  • Вопрос задан 10 лет назад

помогите решить четвёртый номер^^

Приложения:

Ответы

Ответ дал: UluanaV
0
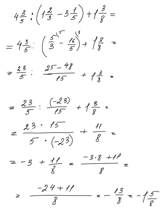
Решение в прикрепленном файле.
Приложения:
Вас заинтересует