• Предмет: Алгебра
  • Автор: Ленка15Пенка
  • Вопрос задан 11 лет назад

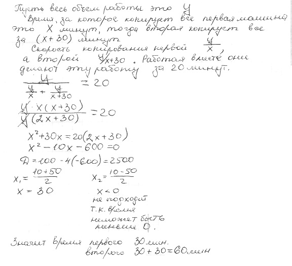
: На двух копировалтных машинах работающих одновременно, сделали копию пакета документов за 20 мин. За какое время можно было выполнить эту работу на каждый из них в отдельности, если известно, что при работе на первой машине для этого требуеться на 30 мин. меньше, чем при работе на второй

Ответы

Ответ дал: Ellenochka
0

В отдельности первая машина скопирует этот пакет документов за 30 минут, а вторая за 60 минут

Приложения:
Вас заинтересует