• Предмет: Математика
  • Автор: Аноним
  • Вопрос задан 10 лет назад

Помогите с задачами:

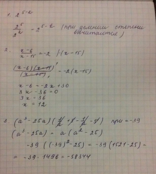
1. Какое из выражений равно степени 2^5-k?
Варианты ответов:
1) 2^5/2^k
2)2^5/2^-k
3)2^5-2^k
4)(2^5)^-k

2. Решите уравнение x-6/x-15=-2

3. Найдите значения выражения (a^3-25a)*(1/a+5-1/a-5) при a=-39

Ответы

Ответ дал: polinaniku
0
Вот. Если что-то не понятно, пиши, объясню

Приложения:
Ответ дал: Аноним
0
спс
Вас заинтересует