• Предмет: Геометрия
  • Автор: Котэ200
  • Вопрос задан 10 лет назад

Помогите решить, пожалуйста :)

Приложения:

Ответы

Ответ дал: leilatania
0
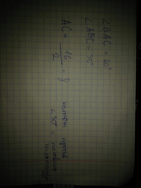
вроде так: катет лежащий против угла 30 равен половине гипотенузы 
Приложения:
Ответ дал: iosiffinikov
0
Проекция наклонной равнаее длине, умноженной на косинус угла, который она образует с прямой на которую проецируется наклонная.
Здесь ПР=16*cos(60)=16*0,5=8 см

Приложения:
Вас заинтересует