Ответы
Ответ дал:
0
1
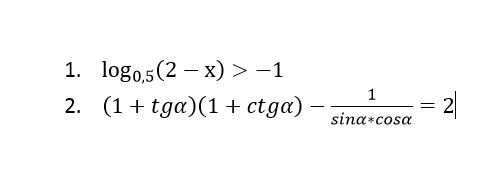
{2-x>0⇒x<2
{2-x<2⇒x>0
x∈(0;2)
2
(sin2a)/2≠0
sin2a≠0
2a≠πn,n∈z
a≠πn/2,n∈z
1+tga+ctga+1-1/sinacosa=2
sina/cosa+cosa/sina -1/sinacosa=0
(sin²a+cos²a)/sinacosa-1/sinacosa=0
1/sinacosa-1/sinacosa=0
0=0
a-любое,кроме a=πn/2
{2-x>0⇒x<2
{2-x<2⇒x>0
x∈(0;2)
2
(sin2a)/2≠0
sin2a≠0
2a≠πn,n∈z
a≠πn/2,n∈z
1+tga+ctga+1-1/sinacosa=2
sina/cosa+cosa/sina -1/sinacosa=0
(sin²a+cos²a)/sinacosa-1/sinacosa=0
1/sinacosa-1/sinacosa=0
0=0
a-любое,кроме a=πn/2
Вас заинтересует
3 года назад
8 лет назад
8 лет назад
10 лет назад
10 лет назад
11 лет назад