Ответы
Ответ дал:
0
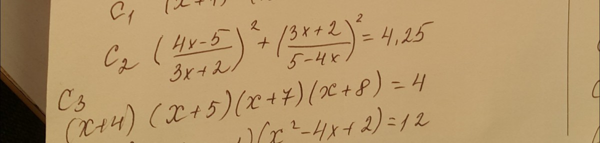
C2
[(4x-5)/(3x+2)]=a
a²+1/a²=17/4
4a^4-17a²+4=0
a²=b
4b²-17b+4=0
D=289-64=225
b1=(17-15)/8=1/4⇒a²=1/4
a1=-1/2⇒(4x-5)/(3x+2)=-1/2
8x-10=-3x-2
11x=8
x1=8/11
a2=1/2⇒(4x-5)/(3x+2)=1/2
8x-10=3x+2
5x=12
x2=2,4
b2=(17+15)/8=4⇒a²=4
a3=-2⇒(4x-5)/(3x+2)=-4
4x-5=-12x-8
16x=-3
x3=-3/16
a4=4⇒(4x-5)/(3x+2)=4
4x-5=12x+8
8x=-13
x4=-13/8
C3
перемножим 1 с4 и 2 с 3
(x²+12x+32)(x²+12x+35)-4=0
x²+12x+32=a
a(a+3)-4=0
a²+3a-4=0
a1+a2=-3 U a1*a2=-4
a1=-4⇒x²+12x+32=-4
x²+12x+36=0
(x+6)²=0
x1=-6
a2=1⇒x²+12x+32=1
x²+12x+31=0
D=144-124=20
x2=(-12-4√5)/2=-6-√5
x3=-6+√5
[(4x-5)/(3x+2)]=a
a²+1/a²=17/4
4a^4-17a²+4=0
a²=b
4b²-17b+4=0
D=289-64=225
b1=(17-15)/8=1/4⇒a²=1/4
a1=-1/2⇒(4x-5)/(3x+2)=-1/2
8x-10=-3x-2
11x=8
x1=8/11
a2=1/2⇒(4x-5)/(3x+2)=1/2
8x-10=3x+2
5x=12
x2=2,4
b2=(17+15)/8=4⇒a²=4
a3=-2⇒(4x-5)/(3x+2)=-4
4x-5=-12x-8
16x=-3
x3=-3/16
a4=4⇒(4x-5)/(3x+2)=4
4x-5=12x+8
8x=-13
x4=-13/8
C3
перемножим 1 с4 и 2 с 3
(x²+12x+32)(x²+12x+35)-4=0
x²+12x+32=a
a(a+3)-4=0
a²+3a-4=0
a1+a2=-3 U a1*a2=-4
a1=-4⇒x²+12x+32=-4
x²+12x+36=0
(x+6)²=0
x1=-6
a2=1⇒x²+12x+32=1
x²+12x+31=0
D=144-124=20
x2=(-12-4√5)/2=-6-√5
x3=-6+√5
Вас заинтересует
3 года назад
8 лет назад
8 лет назад
10 лет назад
10 лет назад