• Предмет: Алгебра
  • Автор: Полина23082000
  • Вопрос задан 10 лет назад

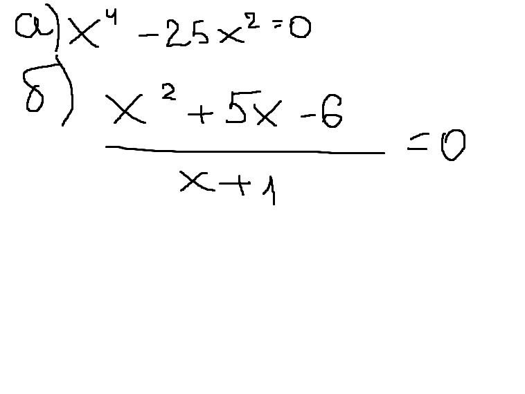
Решите уравнения по алгебре

Приложения:

Ответы

Ответ дал: julyap
0
1) x^{4} -25 x^{2} =0 \  x^{2} ( x^{2} -25)=0 \  x^{2} =0to x=0 \  x^{2} -25=0 \   x^{2} =25 \ x=+-5

2)frac{ x^{2} +5x-6}{x+1} =0  \  x^{2} +5x-6=0 \ D=25+24=49    sqrt{D} =7 \  x_{1} = frac{-5+7}{2} = frac{2}{2} =1 \  x_{2} = frac{-5-7}{2} =- frac{12}{2} =-6 \ x+1 neq 0 \ x neq -1 \
Вас заинтересует