• Предмет: Математика
  • Автор: ribkadasha1
  • Вопрос задан 10 лет назад

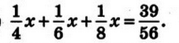
Помогите с уравнением!!Математика 6 класс.Фото внутри

Приложения:

Ответа на этот вопрос пока нет. Попробуйте найти его через форму поиска.

Вас заинтересует