• Предмет: Алгебра
  • Автор: Алина3456
  • Вопрос задан 11 лет назад

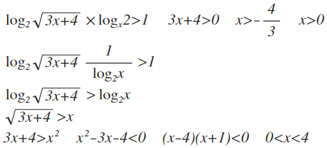
Помогите с логарифмическим неравенством(1 пример), пожалуйста...

Приложения:

Ответы

Ответ дал: palilov2436
0

решение смотри во вложении

Приложения:
Вас заинтересует