• Предмет: Математика
  • Автор: Ruddels
  • Вопрос задан 11 лет назад

(sqrt x) -1 = sqrt( x -(sqrt x+7) - 1)

Ответы

Ответ дал: kaads
0

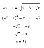
Решение во вложенной картинке.

 

Приложения:
Вас заинтересует