• Предмет: Алгебра
  • Автор: SahaTM
  • Вопрос задан 10 лет назад

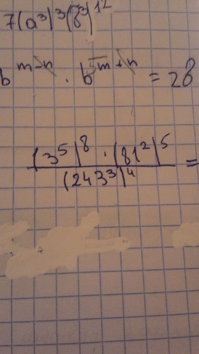
решите пример умоляюююб, спасибо большое заранее

Приложения:

Ответы

Ответ дал: ХелпаниБро
0
 frac{(3^5)^8 (81^2)^5}{(243^3)^4} =  frac{(3^5)^8((3^4)^2)^5}{((3^5)^3)^4} =
=  frac{3^{40} 3^{40}}{3^{60}} = 3^{20}
Ответ дал: miron2077
0
Что-то пока я не добавил ответ, у тебя конца решения не было!
Вас заинтересует