ребят, давайте поднажмем) времени остается мало, завтра нужно уже отдать решения. помогите мне, я потихоньку тоже решаю
Приложения:

Ответы
Ответ дал:
0
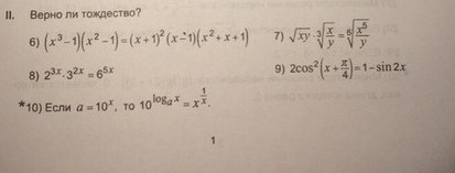
6,9 неправильный
7,8 правильный
7,8 правильный
Ответ дал:
0
гуляй отсюда
Ответ дал:
0
да я твою мать .................................................................................
Вас заинтересует
2 года назад
10 лет назад
10 лет назад