• Предмет: Алгебра
  • Автор: klaupt
  • Вопрос задан 10 лет назад

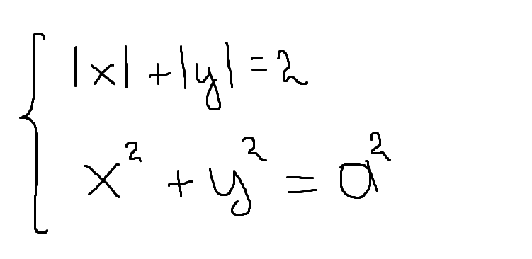
Найдите все значения параметра а, при которых система имеет четыре решения.

Приложения:

Ответа на этот вопрос пока нет. Попробуйте найти его через форму поиска.

Вас заинтересует