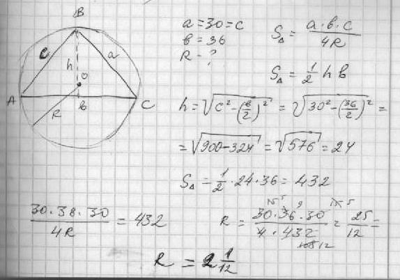
Боковые стороны равнобедренного треугольника равны 30, основание равно 36. Найдите радиус описанной окружности этого треугольника.
Ответы
Ответ дал:
0
ответ смотри ниже!!!!!!!!!!!!!!!!!!!!
исправляю ошибку в вычислении вместо 25 должно быть 225
R = 225/12 = 18 9/12 = 18 3/4 = 18,75
исправляю ошибку в вычислении вместо 25 должно быть 225
R = 225/12 = 18 9/12 = 18 3/4 = 18,75
Приложения:

Вас заинтересует
2 года назад
7 лет назад
10 лет назад
10 лет назад
10 лет назад