• Предмет: Алгебра
  • Автор: лалала1111
  • Вопрос задан 10 лет назад

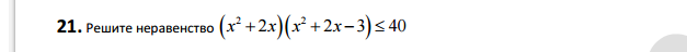
помогите, пожалуйста

Приложения:

Ответы

Ответ дал: marinkagg
0
раскрой скобки,получится уравнение 4 степени,корни будут -4 и 2. не помню как этот метод ,в общем подбором получается,оставшийся трехчлен всегда больше 0.ответ от-4 до 2.
Вас заинтересует