1 и 2 уравнения. ПОМОГИТЕ СРОЧНО!!!!!!!!!!!!!!!!!!!!!!!!!!!!!!!!!!!!!!!!!!!!!!!!!!!!!!!!!!!!
Приложения:

Ответы
Ответ дал:
0
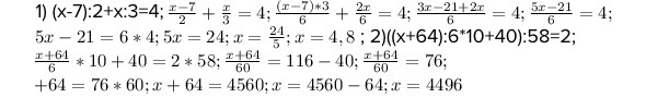
1) (х-7):2+х:3=4;
;
2)((х+64):6*10+40):58=2;
Приложения:

Ответ дал:
0
Что значит tex?
Вас заинтересует
2 года назад
7 лет назад
7 лет назад