• Предмет: Алгебра
  • Автор: Аноним
  • Вопрос задан 11 лет назад

Решите уравнение:  x^2-5IxI=0

Ответы

Ответ дал: WiLdToNnY
0

x^2-5|x|=0

x^2-5x=0

x(x-5)=0

x_1=0     x-5=0

                               x_2=б5

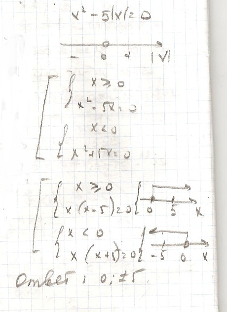
Ответ дал: IrenDena
0

Всё решение на картинке.

Приложения:
Вас заинтересует