• Предмет: Математика
  • Автор: asasnmin
  • Вопрос задан 10 лет назад

решите пожалуйста очень надо

Приложения:

Ответы

Ответ дал: mausSonia
0
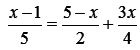
 frac{x-1}{5}= frac{5-x}{2}+ frac{3x}{4}    \ frac{x-1}{5}= frac{2(5-x)+3x}{4} \ frac{x-1}{5}=frac{10-2x+3x}{4} \ frac{x-1}{5}= frac{10+x}{4} \ (x-1)*4=(10+x)*5 \ 4x-4=50+5x \ 5x-4x=-4-50 \ x=-54
Ответ дал: asasnmin
0
спасибо
Вас заинтересует