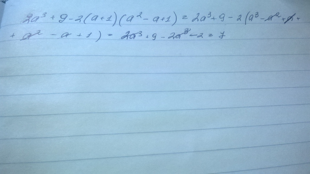
упрастите выражение и найдите его значение 2 а в кубе +9 -2 (а+1) (а в квадрате -а +1) при в = 0,5
Ответы
Ответ дал:
0
а должна полностью сократиться
Приложения:

Вас заинтересует
2 года назад
2 года назад
7 лет назад
7 лет назад
10 лет назад
10 лет назад
10 лет назад