• Предмет: Алгебра
  • Автор: Аноним
  • Вопрос задан 10 лет назад

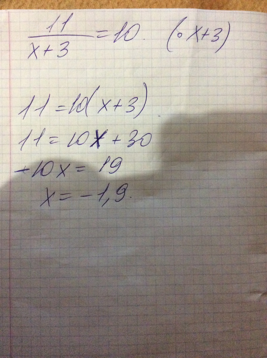
Найдите корень уравнения 11/x+3=10

Ответы

Ответ дал: lilmarlen
0
11 : х + 3 = 10
11 : х = 10 + 3
11 : х = 13
х = 11 : 13
х = 11/13 (одиннадцать тринадцатых)
Ответ дал: lilmarlen
0
Ой, извините
Ответ дал: Olga45m
0
Решается как-то так.
Приложения:
Ответ дал: Olga45m
0
На скрепочку нажми
Ответ дал: Olga45m
0
Только новый вопрос задай
Вас заинтересует