• Предмет: Алгебра
  • Автор: Sengway1337
  • Вопрос задан 10 лет назад

Найти производную , помощь.

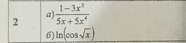
Приложения:

Ответы

Ответ дал: Support001
0
a)  (frac{1-3x^2}{5x+5x^4})'= frac{-6x*(5x+5x^4)-(1-3x^2)*(5+20x^3)}{(5x+5x)^2}  \
b) (ln(cos sqrt{x}))'=  frac{1}{cos( sqrt{x})}*-sin sqrt{x} *1/2*x^{-1/2}
Вас заинтересует