• Предмет: Алгебра
  • Автор: Аноним
  • Вопрос задан 10 лет назад

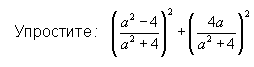
Помогите пожалуйста,буду благодарен!

Приложения:

Ответы

Ответ дал: serikovna01
0
1) (4a+8m)/(6a+3m)-m/(7m-2a)
(4a+8m)(7m-2a)-m(6a+3m)
12am-8a^2+56m^2-6am+3m^2
6am-8a^2+59m^2.

Вас заинтересует