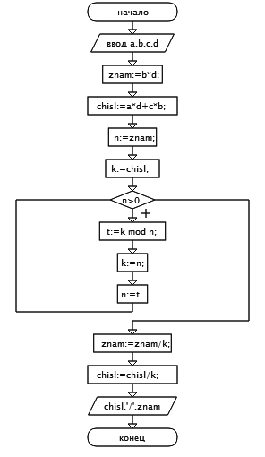
Приведите блок-схему алгоритма сложения двух обыкновенных дробей a/b и c/d.ПОЖАЛУЙСТА,СРОЧНО НАДО
Ответы
Ответ дал:
0
Находим числитель и знаменатель дроби и делим их на их наибольший общий делитель.
Приложения:
Вас заинтересует
3 года назад
8 лет назад
10 лет назад
10 лет назад
11 лет назад