• Предмет: Алгебра
  • Автор: masyaPos
  • Вопрос задан 11 лет назад

Решите пожалуйста,срочно надо)

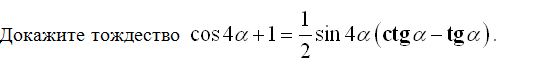
Приложения:

Ответы

Ответ дал: Гоша68
0

2*1/2(ctga-tga)sin2acos2a=(cos^2a-sin^2a)/sinacoasa*sin2acos2a=

 

=2cos2a*cos2a=1-sin^2(2a)+cos^2(2a)=cos4a+1

Вас заинтересует