• Предмет: Алгебра
  • Автор: ролд8
  • Вопрос задан 10 лет назад

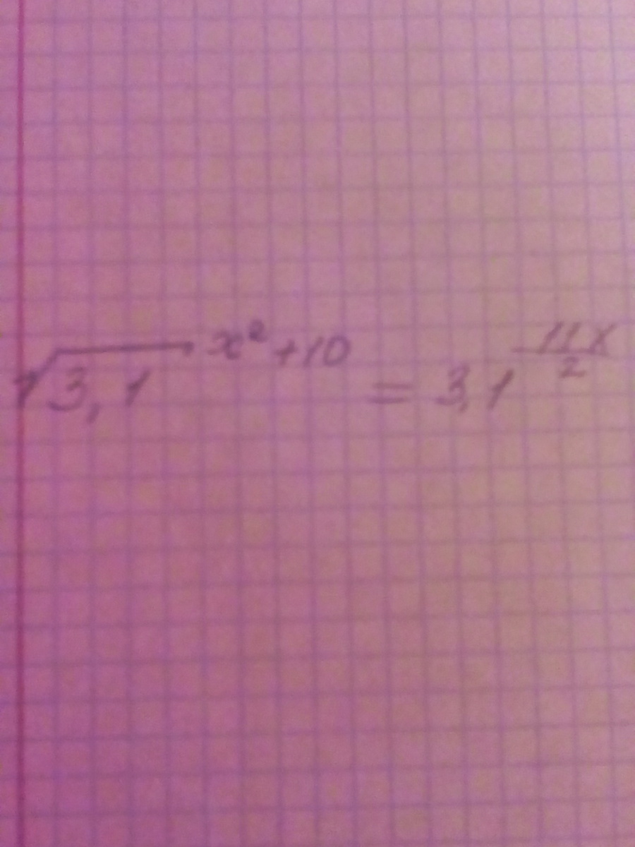
найдите произведение корней уравнения ( с решением на листочке пожалуйста)

Приложения:

Ответы

Ответ дал: ShirokovP
0
 sqrt{3,1}^{x^2+10}=3,1^{ frac{11x}{2} }  \  \ 3,1^{ frac{x^2+10}{2} }=3,1^{ frac{11x}{2} } \  \  frac{x^2+10}{2}= frac{11x}{2}   \  \ x^2-11x+10=0 \   D=121-40=81 \  \x_{1} = frac{11+9}{2}=10; \  \x_{2}  = frac{11-9}{2}=1;
Вас заинтересует